在线留言
如果您有任何的建议或意见
请联系我们
cust-service@akribis-sys,cn
+86 21 58595800
留言
公司新闻
探析精密平台中重复精度的影响因素
日期:2024-04-08 10:53

  科普  

什么是重复定位精度?


在精密运动平台中,重复定位精度(或重复性)是指运动台多次运动到同一名义位置时,与实际位置偏差的某个统计量,根据不同的测试标准会有不同的统计计算方法,例如峰谷值、2σ、3σ等。

1712553008620404.jpg

图 1 雅科贝思VRG系列平台


重复定位精度受多种复杂因素影响,既有运动台自身因素,比如背隙、摩擦力、线缆扰动力、伺服抖动、刚度等,也有环境因素,比如温度漂移、地基振动、环境噪声等。我们几乎不太可能给出每一种因素对重复性的定量影响。

比如说,结构的背隙和不可恢复弹性变形通常会导致运动台正反向运动时位置误差存在明显的正负向偏差,即所谓的“开口”(Gap)现象。导致背隙和不可恢复弹性变形的原因尚不清楚,通常认为背隙是由零件间的连接导致。而不可恢复弹性变形是静摩擦力、线缆力等力与电机力共同作用的结果,我们把二者造成的结构变形统称为不可复位的形变,原理如图 2 所示。实际上我们也难以在测试结果当中对二者的影响进行分离。

1712553050882086.png

图 2  结构不可复位的形变


虽然无法量化每种因素对重复性的影响,但可以通过统计理论和唯象论的观点给出对测试结果的解释。因此,我们在统计意义上可以把重复性的影响因素进行如图 3 所示的分类。

1712553093662191.png

图 3 统计意义上的重复性的影响因素



  实验  

影响重复定位精度的因素

1712553128167009.png

图 4 气浮单轴运动台


为了探寻影响重复定位精度的影响因素,我们首先随机挑选了一台典型的气浮平台进行重复性测试来寻找可能的影响因素。测试结果如图 5 所示,从中可以清晰地看出随机抖动、不可复位的变形以及长时间的位置漂移等因素对重复性结果的影响。

图片

图 5 典型的气浮台重复性测试结果



针对这些可能的影响因素,接下来我们会使用雅科贝思的气浮台测试数据来具体分析不同因素对于重复定位精度的影响力程度。为了更精准地确定每种因素的影响程度,气浮平台被分为有拖链版本无拖链版本来进行重复性测试。


1712553392768671.png

表 1 按照Renishaw2012标准的重复性测试结果(无拖链)


根据Renishaw2012的测试标准,我们得到了表 1的重复性测试数据。但我们很难直接从测试数据当中发现影响运动台重复性的因素,因此我们需要对测试数据进行分解。


图 6 分解后的重复性测试数据(无拖链)_看图王.web.png

图 6 分解后的重复性测试数据(无拖链)


分解后得到如图 6 所示的结果,可以得到虽然每次重复性的测试数据都不一样,但随机抖动(Noise)和不可复位的变形(Gap)造成的影响相对稳定。然而每次测试结果的不一致主要是由温度漂移(Drift)导致的。

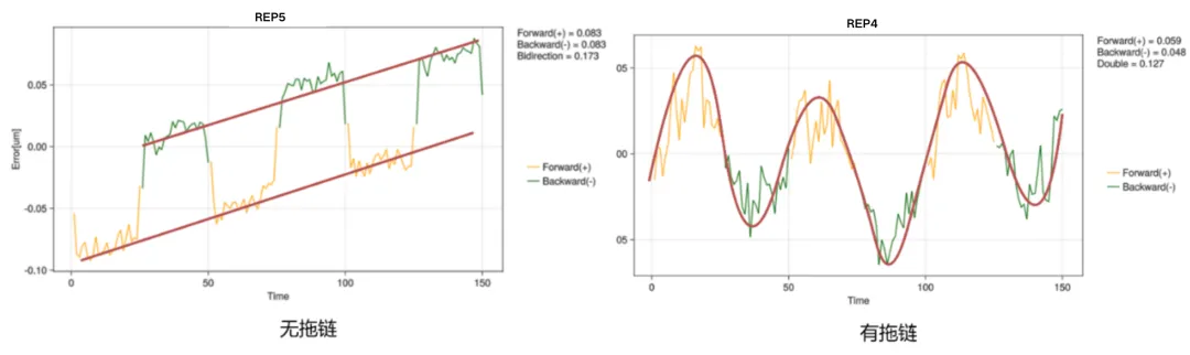
气浮台几乎不存在导向摩擦力,于是线缆、拖链等便成了扰动(Noise)的主要来源。基于相同的测试气浮平台,我们增加了拖链再进行对比。


1712553612768841.png

图 7 无拖链和有拖链的典型测试数据


有拖链和无拖链的典型测试数据如图 7 所示,在有拖链情况下呈明显的波浪形式,而无拖链情况下呈线性形式。对测试数据进行对比,无拖链情况下Noise约为±15nm,而有拖链情况下Noise约为±40nm,数值明显增大,因此对有超高重复定位精度需求的运动平台,拖链的扰动不可忽略



                     1712553659260152.png        1712553681582669.png

                                 图 8 无拖链分解后测试数据                              图 9 有拖链分解后链测试数据



  结语  

提升重复定位精度至关重要,是系统性工程


重复性是所有运动平台最关键的指标之一,平台的重复定位精度决定了最终产品的精度等级。无论是半导体检测设备还是光刻机,贴片平台还是加工机床 ,都无一不把重复定位精度放在首要考量位置。

同时,重复定位精度的提升也是困难的,栅尺位置、电机位置、导轨摩擦等都需要考虑,甚至线缆干扰也会对重复性产生影响,总之重复定位精度的提升是一个系统性的工程。




Akribis对重复定位精度有着深刻的理解,能够为客户提供各种超高重复定位精度的定制化运动平台。同时,公司也会结合客户的具体应用场景做针对性开发,帮助客户解决包括速度、精度、力控制等运动控制方面的技术难题,利用我们在直驱领域的专长和技术积累,助力中国制造业升级。



  产品  

AAL 270 气浮平台

1712553791437451.jpg

AAL 270气浮平台


机械参数

单轴

有效行程

100/200/300/400/500mm

最大空载加速度

20m/s?

额定负载

40kg

最双向重复复定位精度

±0.075~0.2μm


  • 高刚性、无摩擦静压气浮导向

  • 超精等级几何精度满足高端定位系统需求

  • 导轨、电机、编码器实现全面无接触、无磨损

  • 内置线缆管理以及模组化XY堆叠设计

  应用:半导体晶圆检测、激光微加工、钻石单晶车床等



  产品  

VRG系列平台


1712553965765533.png

VRG系列平台


机械参数

L

U

有效行程

300/400/500/600

mm

300/400/500/600

mm

最大加速度

20m/s?

20m/s?

重复定位精度

±1~3μm

±1~3μm


  • 多功能的龙门平台

  • 采用非接触式的光学编码器

  • 高峰值推力与持续推力

  • 响应时间快

  应用:高速取放,自动化组装,点胶等高精度行业



  产品  

PGS-XY平台

1712554055962382.png

PGS-XY平台


机械参数

L

U

有效行程

300/350/400/450

mm

300/350/400/450

mm

分辨率

SINCOS

SINCOS

重复定位精度

±0.3μm

±0.3μm


  • 堆叠XY平台

  • 高速,高加速

  • 高精度,高刚性

  • 圆晶平台

  • 无齿槽力

  应用:高速取放,自动化组装,点胶等高精度行业




所属类别: 新闻资讯